• Предмет: Алгебра
  • Автор: profisionalkola
  • Вопрос задан 2 года назад

даю 75 баллов кто решит уравнения !!!​

Приложения:

profisionalkola: если что это двойные неравенства
Marfis: тебе просто ответ?
profisionalkola: решение и ответ
profisionalkola: у меня задание звучит решить двойные неравенства

Ответы

Ответ дал: MistaB
0

Решить двойные неравенства:

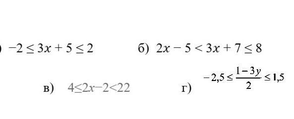
а)

-2\le 3x+5\le 2\\\\\begin {cases} 3x+5\ge \:-2 \\ 3x+5\le \:2\end. \Rightarrow \:\:\begin {cases} 3x\ge \:-7 \\ 3x\le \:-3\end. \Rightarrow \:\:\begin {cases} x\ge \:-\frac{7}{3} \\ x\le \:-1\end.\\\\\\-\frac{7}{3}\le \:x\le \:-1\\\\x\in \left[-\frac{7}{3},\:-1\right]

б)

2x-5<\:3x+7\le 8\\\\\begin {cases} 3x+7 > \:2x-5 \\ 3x+7\le \:8\end. \Rightarrow \:\:\begin {cases} x > \:-12 \\ 3x\le \:1\end. \Rightarrow \:\:\begin {cases} x > \:-12 \\ x\le \frac{1}{3} \end.\\\\\\-12<x\le \frac{1}{3}\\\\x\in (-12,\:\frac{1}{3}]

в)

4 \le 2x-2<22\\\\\begin {cases} 2x-2 \geq \:4 \\ 2x-2 < \:22\end. \Rightarrow \:\:\begin {cases} 2x \geq \:6 \\ 2x < \:24\end. \Rightarrow \:\:\begin {cases} x \geq  \:3 \\ x < 12 \end.\\\\\\3\le \:x<12\\\\x\in [\: 3,\:12)

г)

-2,5\le \frac{1-3y}{2}\le 1,5\\\\-5\le 1-3y\le3\\\\\begin {cases} 1-3y \ge \:-5 \\ 1-3y \le \:3\end. \Rightarrow \:\:\begin {cases} -3y \ge \:-6 \\ -3y \le \:2\end. \Rightarrow \:\:\begin {cases} y \le \:2 \\ y \ge -\frac{2}{3} \end.\\\\\\-\frac{2}{3}\le \:y\le \:2\\\\x\in \left[-\frac{2}{3},\:2\right]

Вас заинтересует