• Предмет: Алгебра
  • Автор: gamerwortex
  • Вопрос задан 2 года назад


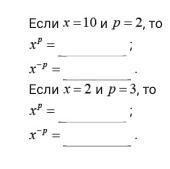
Заполните пропуски.
Найдите значения выражений. Ответы запишите в виде десятичной дроби. пж очень срочно

Приложения:

Ответы

Ответ дал: ms5o2
2

Ответ:

Если x=10 и p=2 , то x^p=100 , x^-p=1/100;

Если x=2  и p=3 , то x^p=8 , x^-p=1/8

Объяснение:

x^p=10^2=100

x^-p=10^-2=1/10^2=1/100

x^p=2^3=2*2*2=8

x^-p=2^-3=1/2^3=1/8


gamerwortex: мне так и писать на сайте ответ x^-p= 1/100 и т.д ?
ms5o2: Да, по-другому ты никак не поставишь, если только через другие программы
gamerwortex: хорошо спасибо
Вас заинтересует