• Предмет: Информатика
  • Автор: alevtinaklybnika2005
  • Вопрос задан 2 года назад

Ребята пожалуйста помогите мне срочно нужно сдать. решить с системе паскаль:​

Приложения:

Ответы

Ответ дал: vika2004006
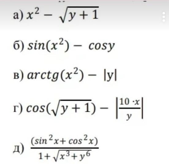
1

Ответ:

Я хз, но мб так:)

Объяснение:

Sqr(x)-sqrt(y+1)

sin(sqrt(x))-cos(y)

arctg(sqr(x))-abs(y)

cos(sqrt(y+1))-abs((10*x)/y)

(sqr(sin)*x+sqr(cos)x)/(1+abs(x*x*x+y*y*y*y*y*y) )

Вас заинтересует