• Предмет: Алгебра
  • Автор: daniilsnetkov93
  • Вопрос задан 2 года назад

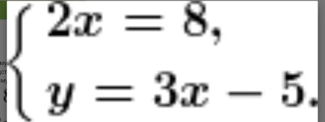
решить системное уравнение​

Приложения:

vikaKrm: кратко или подробно?

Ответы

Ответ дал: alinazhalilova17
0

x=8÷2

y=3x-5

y=3×4-5

y=7, x=4

Вас заинтересует