• Предмет: Алгебра
  • Автор: daniilsnetkov93
  • Вопрос задан 2 года назад

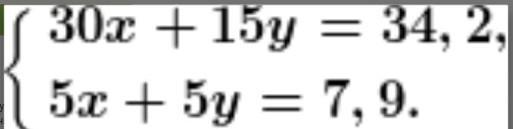
решить системное уравнение​

Приложения:

Ответы

Ответ дал: alinazhalilova17
0

Ответ дан ниже с решением

Приложения:
Вас заинтересует