• Предмет: Алгебра
  • Автор: sazonas228
  • Вопрос задан 2 года назад

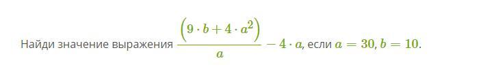
Найди значение выражения
ПОМОГИТЕ

Приложения:

Ответы

Ответ дал: rakhmetov003
0

 \frac{(9 \times 10 + 4 \times  {30}^{2} )}{30}  - 4 \times 30 = 123 - 120 = 3

Вас заинтересует