Ответы
Ответ дал:
0
Ответ:
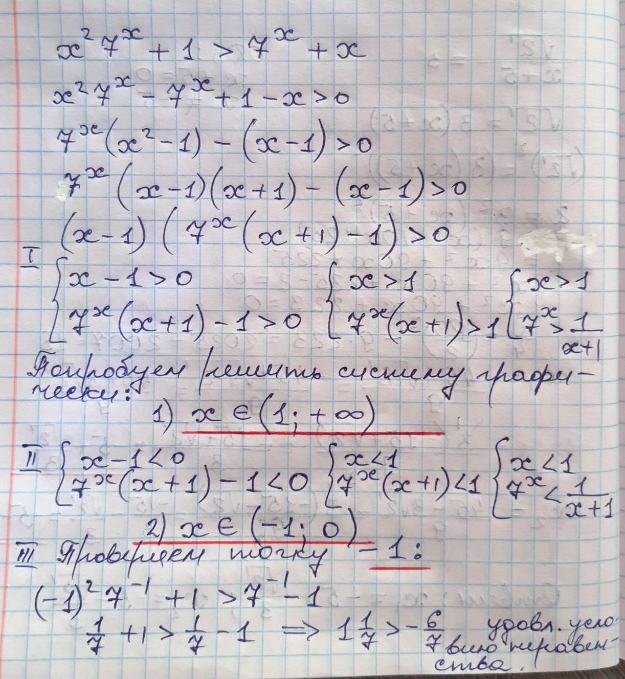
Решите неравенство...
Приложения:


Вас заинтересует
1 год назад
1 год назад
1 год назад
3 года назад
3 года назад
8 лет назад
8 лет назад