• Предмет: Математика
  • Автор: iyh56343
  • Вопрос задан 2 года назад

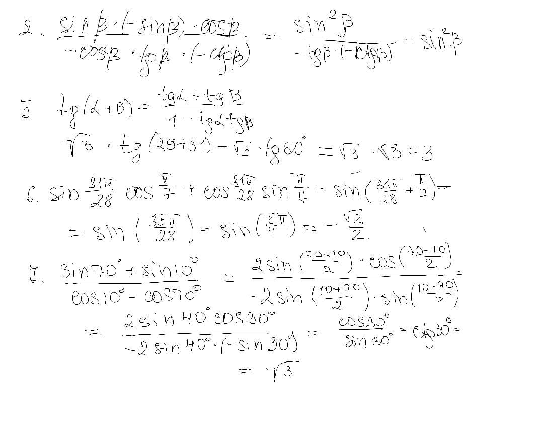
ПОМОГИТЕ С МАТЕМАТИКОЙ ПЖЖЖЖЖЖЖЖЖ

Приложения:

Ответы

Ответ дал: kalinintalin
1

2)sin²β

5)3

6)-√2/2

7)√3

Приложения:
Вас заинтересует