• Предмет: Геометрия
  • Автор: 1dimankolegov
  • Вопрос задан 2 года назад

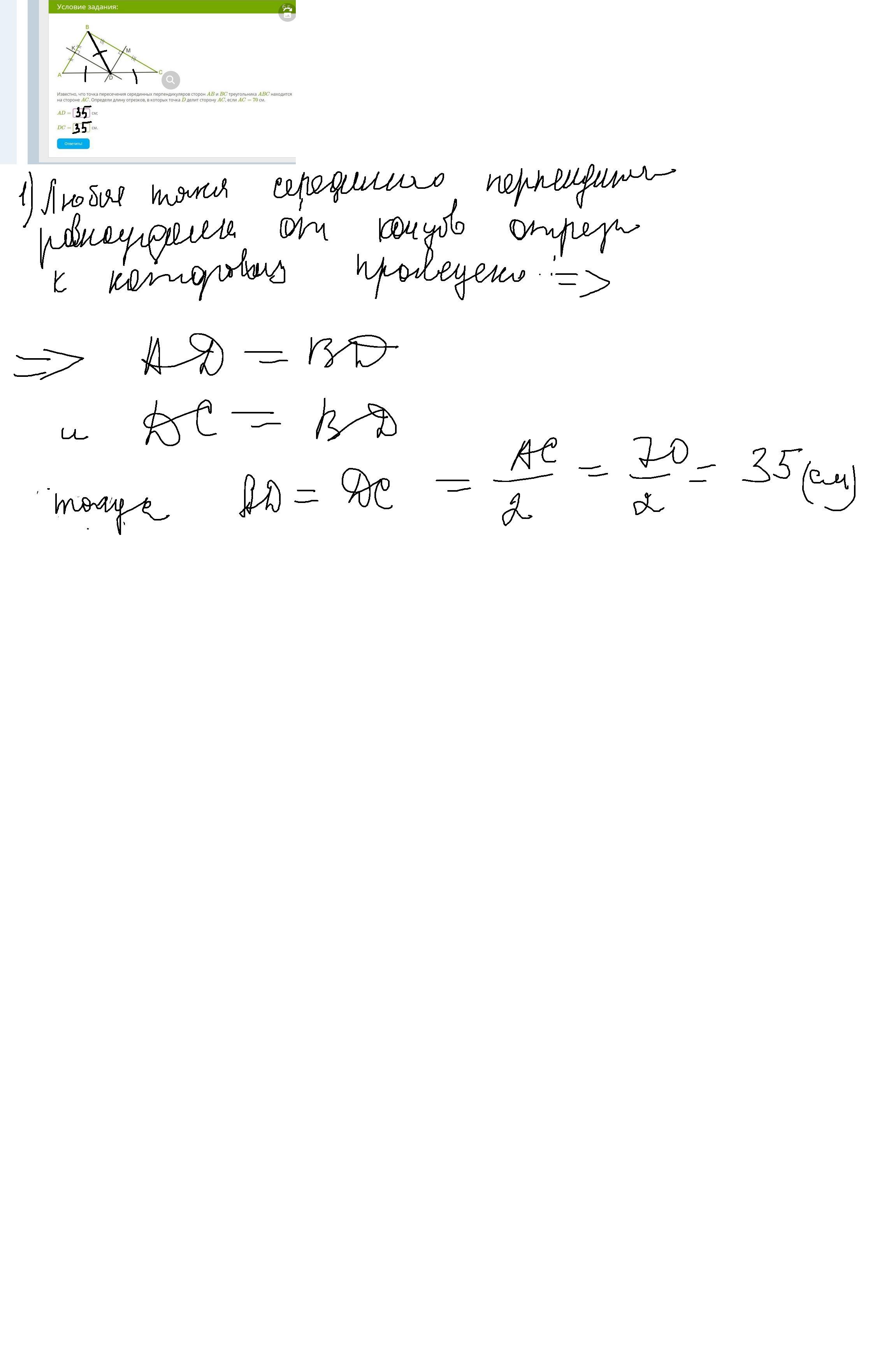
Известно, что точка пересечения серединных перпендикуляров сторон AB и BC треугольника ABC находится на стороне AC. Определи длину отрезков, в которых точка D делит сторону AC, если AC= 70 см.

AD=
см;

DC=
см.

Приложения:

Ответы

Ответ дал: vikll
0

Ответ:

Объяснение:

Известно, что точка пересечения серединных перпендикуляров сторон

Приложения:

123456789aBcdd: Перевод:
Вас заинтересует