Ответы
Ответ дал:
0
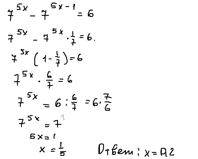
Решение показательного уравнения смотри в файле.
Приложения:

Ответ дал:
0
_____________________________________-
Приложения:

Ответ дал:
0
мое решение можете пометить как нарушение!
Вас заинтересует
2 года назад
10 лет назад
10 лет назад
10 лет назад