• Предмет: Алгебра
  • Автор: Artemka113377
  • Вопрос задан 2 года назад

даю 20 баллов! нужно решение и ответ! помогите пожалуйста)

Приложения:

Ответы

Ответ дал: nestanelinanasi0428
0

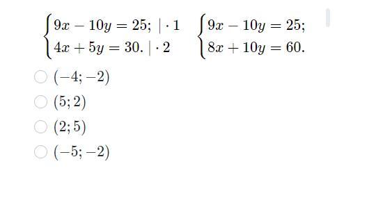
Ответ: 9x-10y=25 17x=85

9x+10y=60 x=5

9×5-10y=25

45-10y=25

-10y=25-45

-10y=-20

y=2 Ответ:(5;2)

Вас заинтересует