• Предмет: Математика
  • Автор: kamilamif6247
  • Вопрос задан 2 года назад

Помогите Пожалуйста! Очень срочно Даю 14 баллов

Приложения:

Ответы

Ответ дал: tatsach
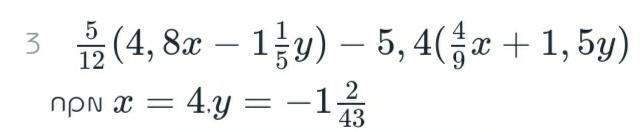
1

Ответ:

Пошаговое объяснение:

=5\12(24\5х-6\5у)-27\5(4\9х+1.5у)=2х-1\2у-12\5х-8.1у=2х-0.5у-2.4х-8.1у=

-0.4х-8.6у

-0.4*4-8.6*(-1 2\43)=-1.6-43\5*(-45\43)=-1.6+9=7.4

Вас заинтересует