• Предмет: Алгебра
  • Автор: iban1
  • Вопрос задан 2 года назад

Прошуууу,помогитее!!!!!!!!!!!

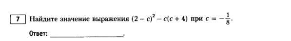
Приложения:

Ответы

Ответ дал: mic61
0

Ответ:

5

Объяснение:

(2-с)^2-c(c+4)=2^2-2*2*c+c^2-c^2-4c=4-4c-4c=4-8c=4(1-2c);

c=-1/8;

4*(1-2*(-1/8))=4*(1+2/8)=4+8/8=4+1=5

Вас заинтересует