Ответы
Ответ дал:
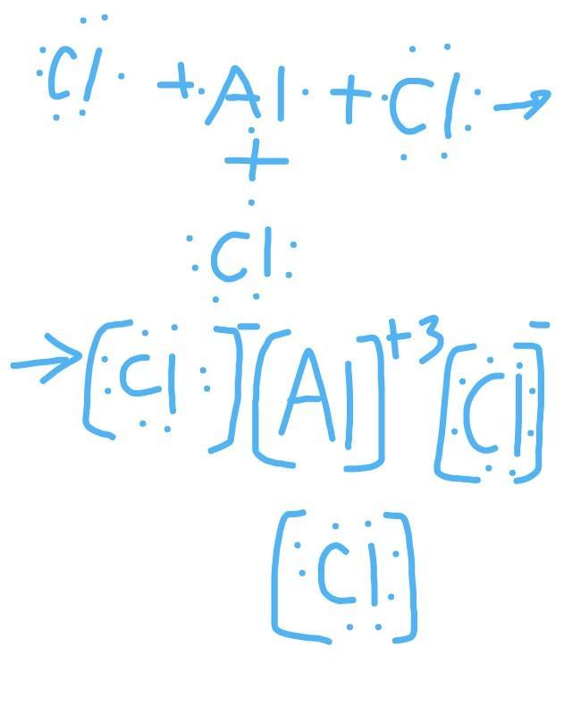
0
Объяснение:
как-то так, надеюсь понятно
Приложения:


Вас заинтересует
1 год назад
1 год назад
1 год назад
3 года назад
3 года назад
8 лет назад