• Предмет: Математика
  • Автор: za888888
  • Вопрос задан 2 года назад

Помогите пожалуйста!
срочноооооооо
извините что так много,нету времени по отдельности выкладывать(
Заранее огромное спасибо)))
даю 50 баллов

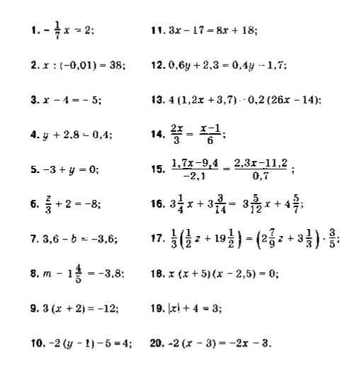
Приложения:

emsplu0: Пж можешь мне помочь у меня в профиле последний вопрос пж помоги
Simba2017: удалят
emsplu0: ???
Simba2017: больше 3 заданий выставлять нельзя
emsplu0: что удалят ?

Ответы

Ответ дал: CkBu3u
0

Ответ:

1)-14

2)-19/50 --- -0,38

3)0

4)-2,4

5)3

6)-30

7)7,2

8)-2

9)-6

10)-7/2

11)350/33

12)-20

13)-2619/544

14)-1/3

15)5

16)-9

17)183/5

18)x=-5 или x=0 или x=5/2

19)-

20)опечатка

Пошаговое объяснение:


za888888: А решение?
za888888: Мои 50 баллов(((((((((
Вас заинтересует