• Предмет: Математика
  • Автор: Timofeygood231
  • Вопрос задан 8 лет назад

Срочно решите нужен ответ

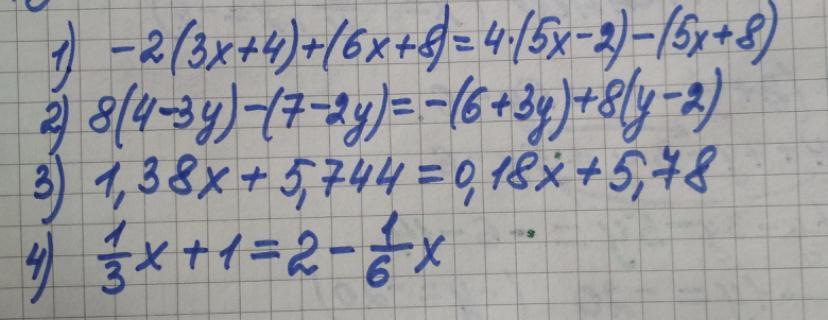
Приложения:

Ответы

Ответ дал: Aliya06082006
0

Ответ:

3)6,744-38х=0,17х+5,78

-38х-0,17х=5,78-6,744

х=482/19085;

х=0,0252554

Приложения:
Вас заинтересует