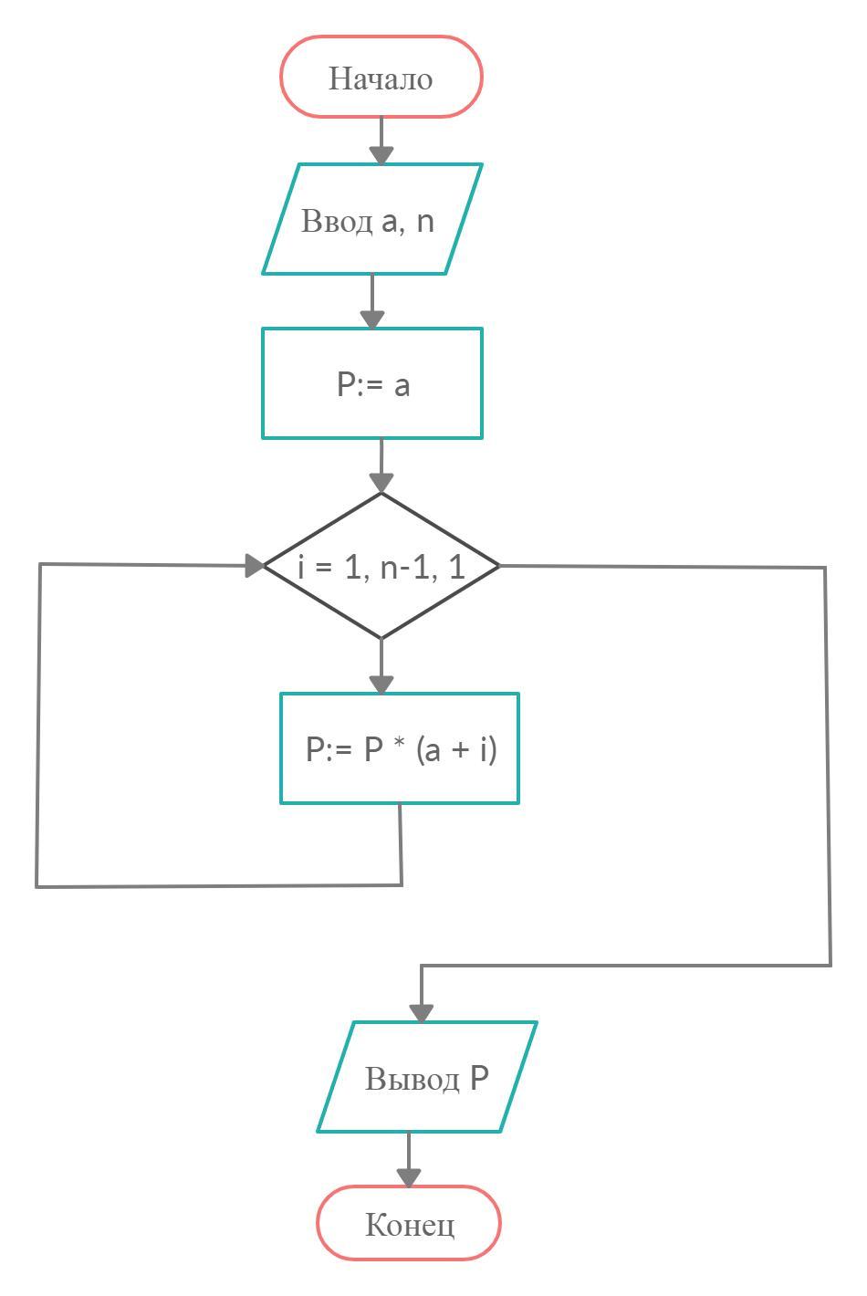
Объясните каждый блок что значит, сама задача:
Дано действительное число a, натуральное число n.
Вычислить: P = a*(a +1) *...* (a + n - 1)
Приложения:
Ответа на этот вопрос пока нет. Попробуйте найти его через форму поиска.
Вас заинтересует
2 года назад
3 года назад
3 года назад
9 лет назад
10 лет назад