• Предмет: Алгебра
  • Автор: andfit
  • Вопрос задан 8 лет назад

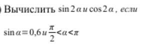
Тригонометрия даю 100 баллов

Приложения:

Ответы

Ответ дал: GamePlay2020
0

Ответ:a=0.6 uао аос <>

Объяснение:

Вас заинтересует