• Предмет: Математика
  • Автор: MariaKol225
  • Вопрос задан 8 лет назад

ПОМОГИТЕ ПОЖАЛУЙСТА!!!
С меня +30 баллов

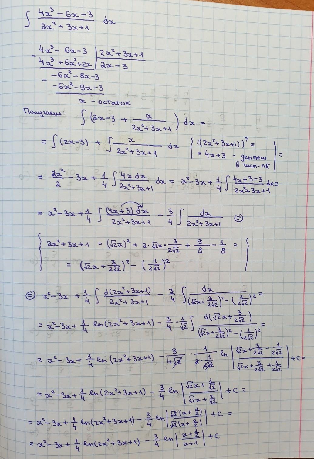
Приложения:

Ответы

Ответ дал: Miroslava227
0

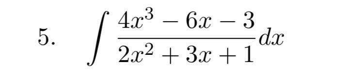
Ответ:

решение на фотографии

Приложения:
Вас заинтересует