Ответы
Ответ дал:
0
Ответ:
На фотографии.
Приложения:

Ответ дал:
0
Фри баллы?;)
Ответ дал:
0
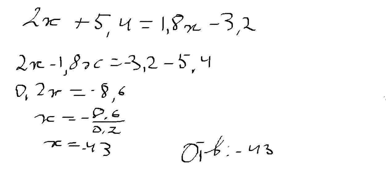
Ответ:
-43
Пошаговое объяснение:
2x+5.4=1.8x-3.2
2x-1.8x=-5.4-3.2
0.2x=-8.6
x=-43
Приложения:

Вас заинтересует
2 года назад
2 года назад
3 года назад
3 года назад
9 лет назад