• Предмет: Физика
  • Автор: Аноним
  • Вопрос задан 10 лет назад

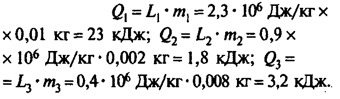
какое количество теплоты необходимо для обращения в пар воды массой 10г ,спирта массой 2г,эфира массой 8г ,если каждая жидкость нагрета до температуры кипения?Помогите срочно пожайлуста.

Ответы

Ответ дал: missrozochka
0
решение в картинка....
Приложения:
Вас заинтересует