• Предмет: Алгебра
  • Автор: etozhekto
  • Вопрос задан 8 лет назад

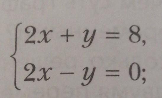
Решите методом сложения систему уравнений​

Приложения:

Ответа на этот вопрос пока нет. Попробуйте найти его через форму поиска.

Вас заинтересует
10 лет назад