• Предмет: Алгебра
  • Автор: charming168
  • Вопрос задан 8 лет назад

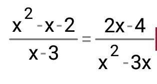
Решите биквадратное уравнение​

Приложения:

Ответы

Ответ дал: diko6909
0

Ответ:

Вроде правильно******

Приложения:
Вас заинтересует