• Предмет: Математика
  • Автор: 14789632
  • Вопрос задан 11 лет назад

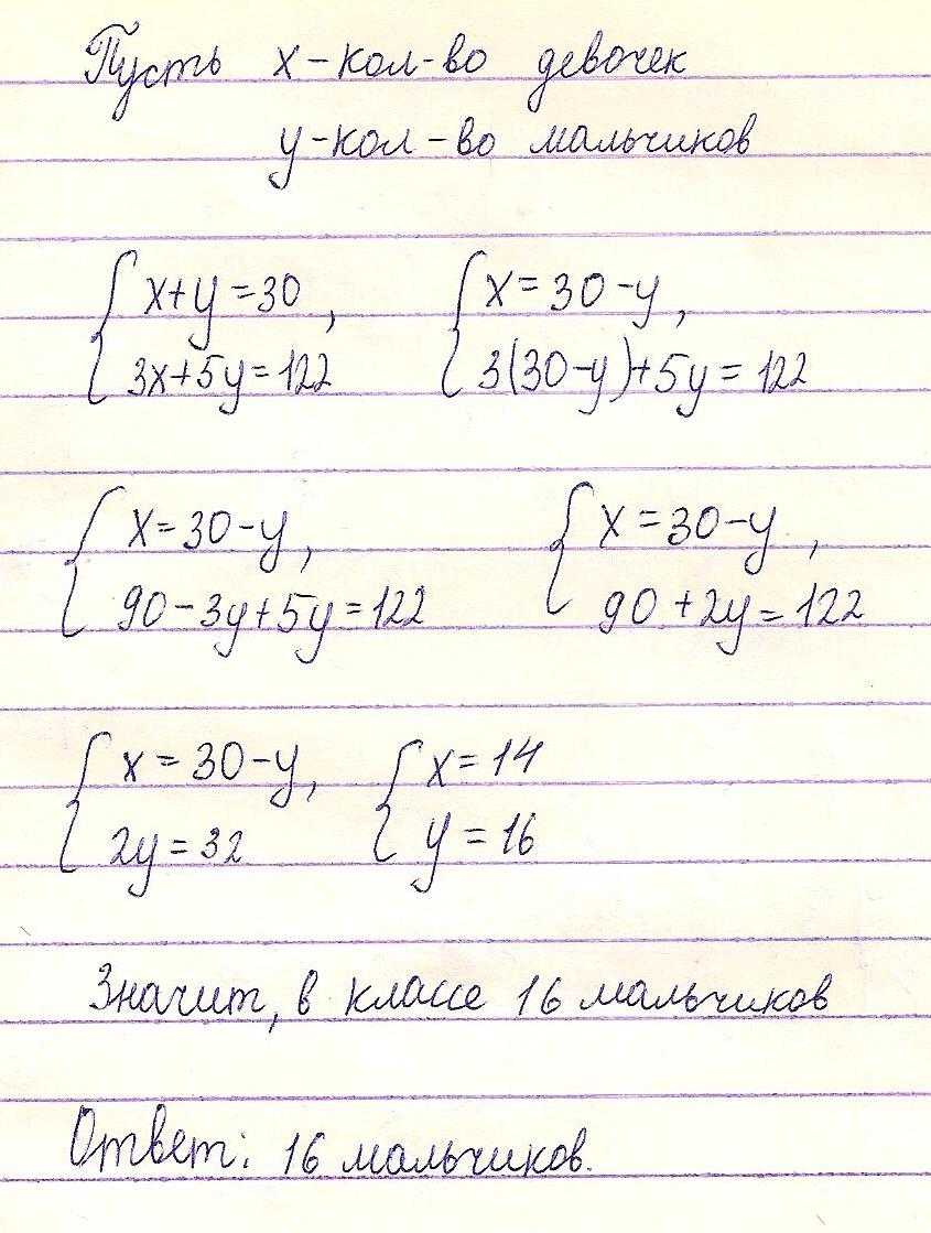
В КЛАССЕ УЧАТСЯ МАЛЬЧИКИ И ДЕВОЧКИ,ВСЕГО 30 ЧЕЛОВЕК.ВАСЯ ПОСЧИТАЛ,ЧТО ЕСЛИ КАЖДАЯ ДЕВОЧКА ПРИНЕСЕТ ПО 3 КГ МАКУЛАТУРЫ,А КАЖДЫЙ МАЛЬЧИК ПО 5 КГ,ТО ВСЕ УЧАЩИЕСЯ ВМЕСТЕ СОБЕРУТ 122КГ МАКУЛАТУРЫ.СКОЛЬКО В КЛАССЕ МАЛЬЧИКОВ?

Ответы

Ответ дал: Lenysiya
0

Решение на картинке снизу:

Приложения:
Ответ дал: zayatdinova
0

16мальчиков 16*5=80 14*3=42   42+80=122

Приложения:
Вас заинтересует