• Предмет: Математика
  • Автор: ВолчицаТигр
  • Вопрос задан 8 лет назад

ДАЮ 100 БАЛЛОВ!!!
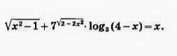
Помогите решить, пожалуйста

Приложения:

Ответы

Ответ дал: nurzigitovaakmarzan
0

 sqrt{x {}^{2} - 1 }  + 7 sqrt{2 - 2x {}^{2} }  times  log_{3}(4 - 3?)  = x \  sqrt{x {}^{2} - 1 } + 7 sqrt{2 - 2x {}^{2} }  log_{3}(1)   \  sqrt{x {}^{2} - 1 }  + 7 sqrt{2 - 2x {}^{2} } times 0 \  sqrt{x {}^{2} - 1 }  + 0 \  sqrt{x {}^{2} - 1 }

Вас заинтересует