• Предмет: Математика
  • Автор: vtkaceva859
  • Вопрос задан 8 лет назад

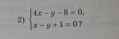
Какие из пар (-2; 4); (-1; -3); (3; 4) является решениями системы.СРОЧНО!!!!!

Приложения:

Ответа на этот вопрос пока нет. Попробуйте найти его через форму поиска.

Вас заинтересует