• Предмет: Математика
  • Автор: ni262552
  • Вопрос задан 8 лет назад

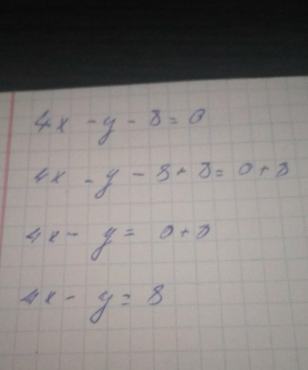
3) 4x-y-8=0 помогите пж​

Ответы

Ответ дал: kulich2000kov
0

Пошаговое объяснение:

Ответ на картинке, расписал подробно

Приложения:
Вас заинтересует