• Предмет: Алгебра
  • Автор: zazhekonas
  • Вопрос задан 8 лет назад

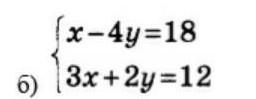
нужно решить в графическом виде, срочно! ​

Приложения:

Ответа на этот вопрос пока нет. Попробуйте найти его через форму поиска.

Вас заинтересует