• Предмет: Алгебра
  • Автор: mariysado22
  • Вопрос задан 8 лет назад

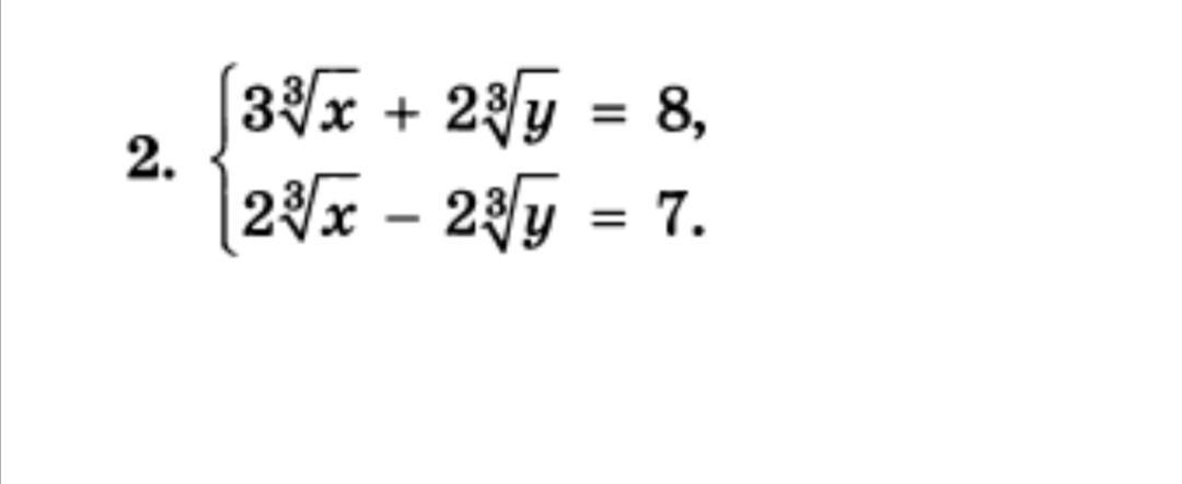
Решите систему во вложении, пожалуйста

Приложения:

Ответа на этот вопрос пока нет. Попробуйте найти его через форму поиска.

Вас заинтересует