• Предмет: Математика
  • Автор: Hieri2006
  • Вопрос задан 8 лет назад

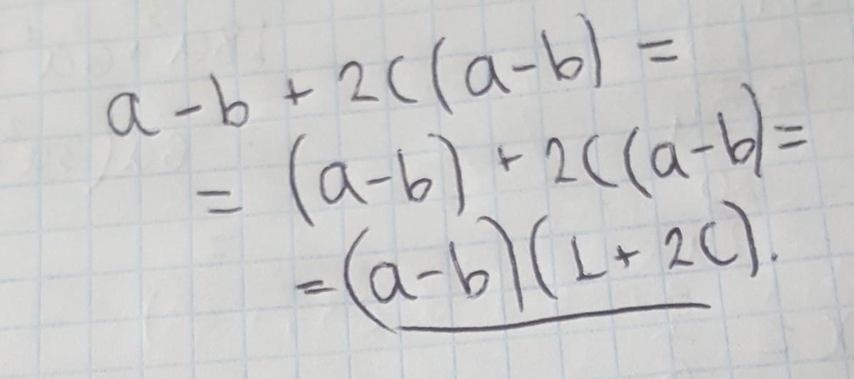
Решите пример:
а-в+ 2с(а-в)

Ответы

Ответ дал: WSVR
0

Пошаговое объяснение:

Решение примера в тетради

Приложения:
Ответ дал: Hieri2006
0
Что за треугольник
Вас заинтересует