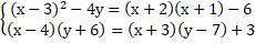
ПОМОГИТЕЕ С ГЕОМЕТРИЕЙ ДАЮ 40 БАЛЛОВ
НУЖНО РЕШИТЬ СИСТЕМУ УРАВНЕНИЙ МЕТОДОМ СЛОЖЕНИЯ
СМОТРЕТЬ В ЗАКРЕПЕ
Приложения:

Ответа на этот вопрос пока нет. Попробуйте найти его через форму поиска.
Вас заинтересует
2 года назад
3 года назад
3 года назад
8 лет назад
8 лет назад