• Предмет: Алгебра
  • Автор: mcblond4564
  • Вопрос задан 11 лет назад

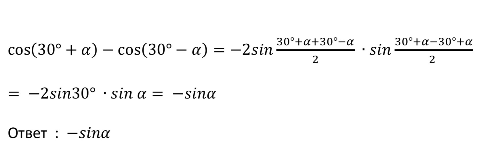
cos(30градусов+альфа)-cos(30градусов-альфа)

Ответы

Ответ дал: mionkaf1
0
cos(30^{circ}+alpha)-cos(30^{circ}-alpha)=\\=cos30^{circ}cosalpha-sin30^{circ}sinalpha-(cos30^{circ}cosalpha+sin30^{circ}sinalpha)=\\=frac{sqrt{3} }{2}cosalpha-frac{1}{2}sinalpha-(frac{sqrt{3} }{2}sinalpha+frac{1}{2}sinalpha)=frac{sqrt{3}cosalpha-sinalpha-sqrt{3}cosalpha-sinalpha }{2}=\\=frac{-2sinalpha}{2}=-sinalpha
Ответ дал: antonovm
0

                                  Решение : //////////////////////////

Приложения:
Вас заинтересует