• Предмет: Математика
  • Автор: maria7536
  • Вопрос задан 2 года назад

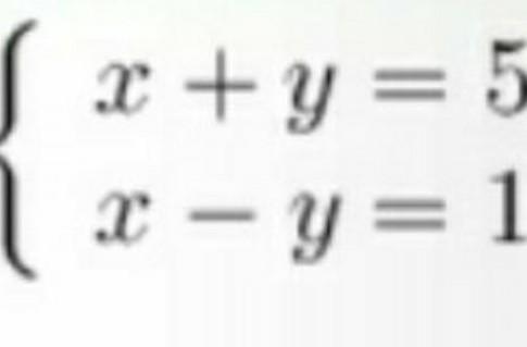
помогите пожалуйста 7 клас​

Приложения:

Ответы

Ответ дал: Аноним
1

Ответ:

Пошаговое объяснение:

х=5-у

х-у=1

х=5-у

5-у-у=1

х=5-у

2у=4

х=5-у

у=2

х=3

у=2

Вас заинтересует