• Предмет: Математика
  • Автор: pro4213
  • Вопрос задан 2 года назад

Решите пж, мне очень надо, я отдал на это все свои баллы​

Приложения:

Ответы

Ответ дал: ChromDC
1

Ответ:

Пошаговое объяснение:

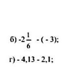
-2\frac{1}{6} - (-3) = -\frac{13}{6} +\frac{18}{6} = \frac{5}{6}

-4,13 - 2,1 = -6,23


pro4213: Можешь зайти ко мне в профиль, там есть ещё задания, даю 25 баллов
Вас заинтересует