• Предмет: Алгебра
  • Автор: yana3106
  • Вопрос задан 2 года назад

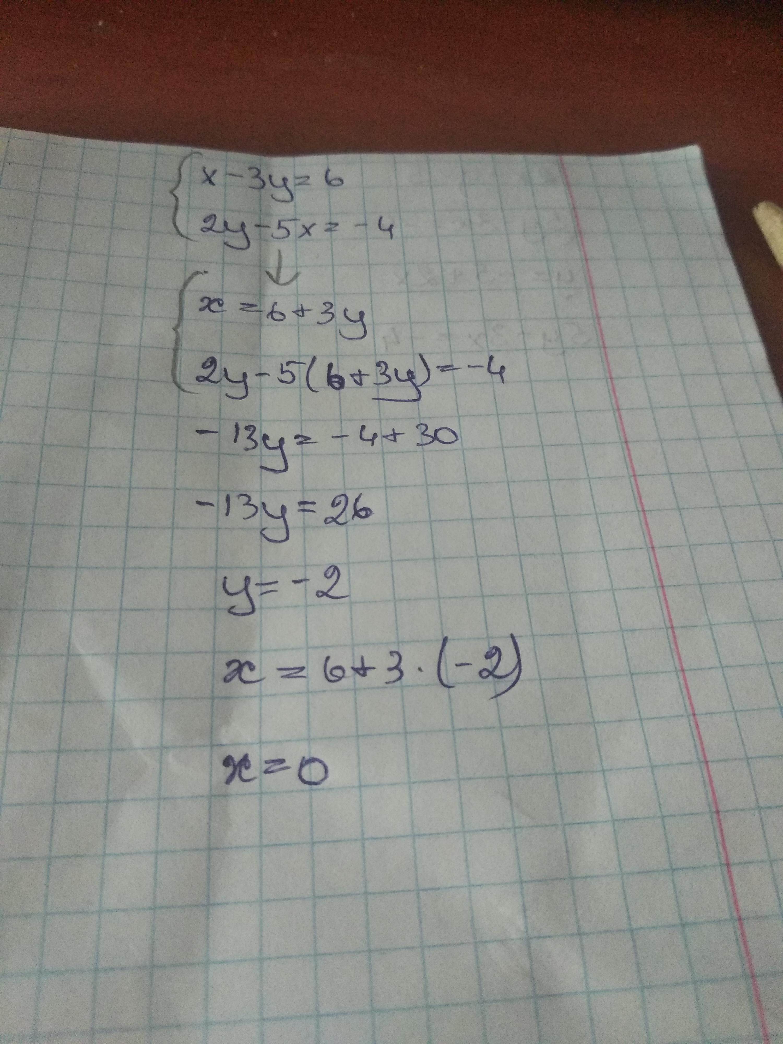
{x-3y=6
{2y-5x=-4
способ підстанови

СРОЧНО!!!!!

Ответы

Ответ дал: ukrein71
1

Объяснение на фото:)

Приложения:

yana3106: боже спасибо!
Вас заинтересует