Помогите с дифференциалами!!!
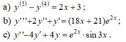
Найти общий интеграл дифференциального уравнения первого порядка с разделяющимися переменными.
Приложения:

Ответа на этот вопрос пока нет. Попробуйте найти его через форму поиска.
Вас заинтересует
2 года назад
2 года назад
3 года назад
3 года назад
8 лет назад
8 лет назад
9 лет назад