• Предмет: Алгебра
  • Автор: КсЮхА2001КсЮхА
  • Вопрос задан 11 лет назад

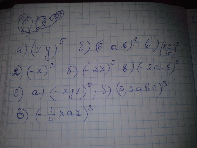
Представьте произведение в виде степени
1.а)x5y5  б)36a2b2 в) 0,001x3c3 
2. а)-x3 б) -8x3  в)-32a5b5
3. а) -x5y5z5  б) 0,027a3b3c3  в) -1/64 x3a3z3
Помогите пожалуйстаа))

Ответы

Ответ дал: prostomama1
0
Значит пишешь свои примеры затем мои ответы если что спрашивай
Приложения:
Ответ дал: prostomama1
0
Не за что разберешься? ????
Вас заинтересует