• Предмет: Алгебра
  • Автор: furiuscub
  • Вопрос задан 8 лет назад

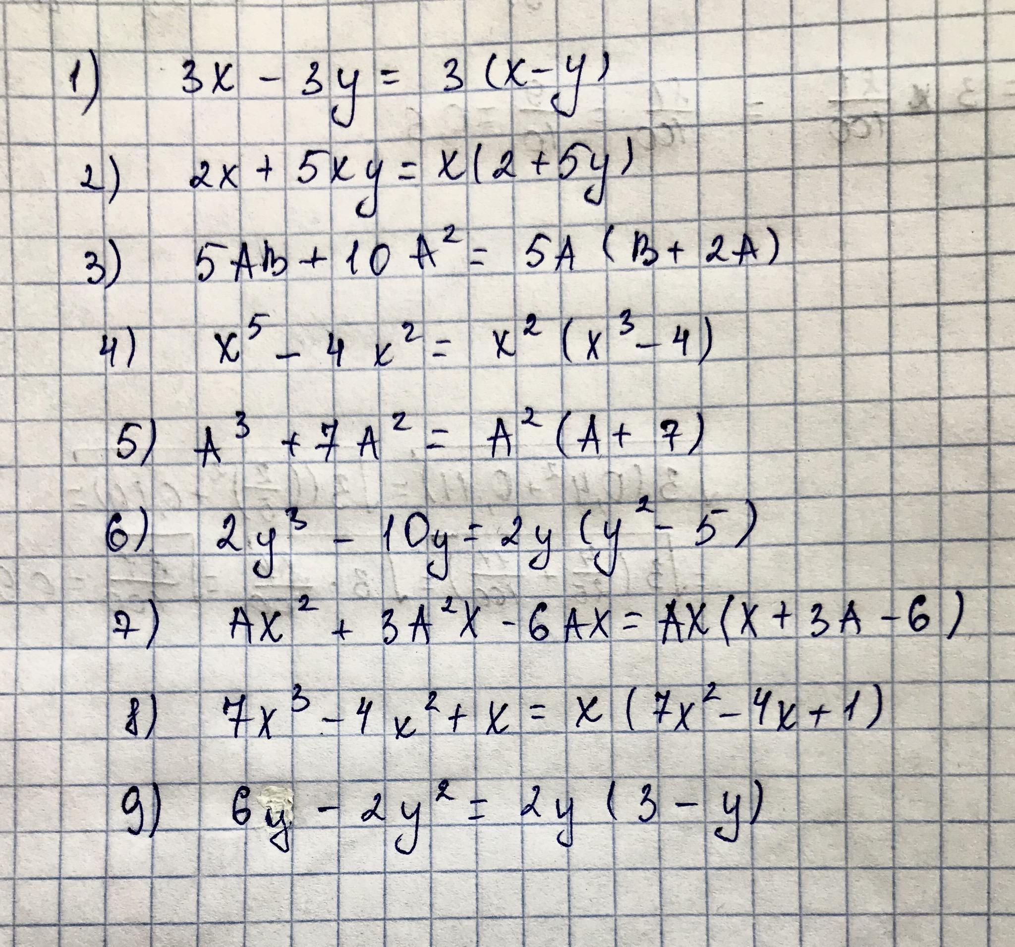
Вынесите
1). 3Х – 3У =
2). 2Х + 5ХУ =
3). 5АВ + 10A^{2} =
4). X^{5} – 4X^{2} =
5). A^{3} + 7A^{2}=
6). 2Y^{3} – 10У =
7). АX^{2} +3A^{2}Х – 6АХ =
8). 7X^{3} – 4X^{2} + Х =
9). 6У – 2Y^{2} =

Ответы

Ответ дал: maryammestieva
0

Ответ:........

Объяснение:........

Приложения:
Вас заинтересует