• Предмет: Алгебра
  • Автор: DIMAOLIJINIK
  • Вопрос задан 2 года назад

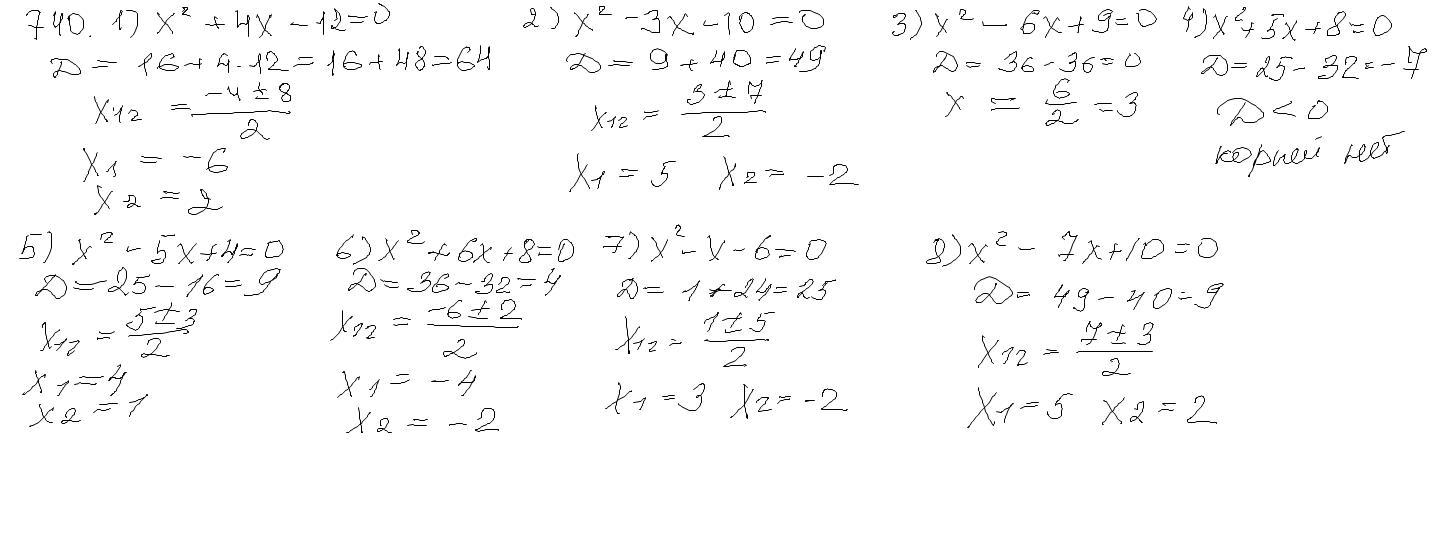
Помогите Срочно Дам 20 Баллов. Решите квадратные уравнения по дискриминантом.

Приложения:

Ответы

Ответ дал: kalinintalin
1

Ответ:

на фото

Объяснение:

Приложения:

DIMAOLIJINIK: Огромное СПАСИБО
Вас заинтересует