• Предмет: Алгебра
  • Автор: yuliadavydovacc
  • Вопрос задан 2 года назад

Дам 25 баллов, есть фото
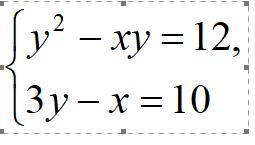
Решить систему уравнений

Приложения:

Ответы

Ответ дал: ukrein71
1

Объяснение на фото:)

Приложения:
Вас заинтересует