• Предмет: Алгебра
  • Автор: magh97
  • Вопрос задан 2 года назад

срочно помогите
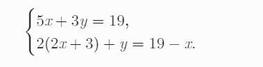
найдите x и y

Приложения:

Ответы

Ответ дал: zveryakovanata
0

Ответ: (2; 3)

Объяснение: упростим второе уравнение системы, раскрыв скобки и приведя подобные: 2(2х+3)+у=19-х ⇒ 4х+6+у=19-х ⇒ 5х+у=13. Тогда имеем систему двух уравнений 5х+3у=19 и 5х+у=13. Решим эту систему способом сложения, для чего умножим второе уравнение на (-1) и сложим почленно два полученных уравнения: 5х+3у=19 и -5х-у=-13. Получим:  2у=6 ⇒ у=6:2=3,  у=3; тогда х = (13 - у)/5 = (13-3)/5 =2,  х=2       Ответ: (2; 3)

Вас заинтересует