• Предмет: Алгебра
  • Автор: khaub629
  • Вопрос задан 2 года назад

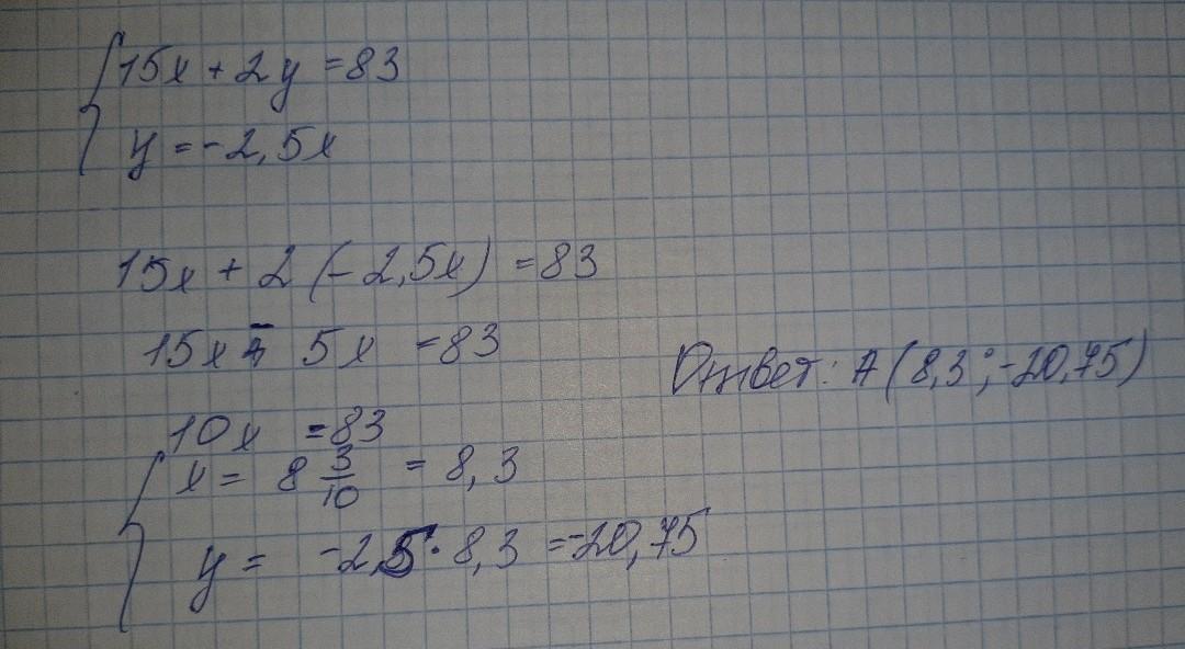
Найди точку пересечения графиков, заданных формулами 15x+2y=83 и y=−2,5x без построения.

Ответы

Ответ дал: nastenadmitr20
1

решение через систему)

Приложения:
Вас заинтересует