• Предмет: Математика
  • Автор: andreewyurch
  • Вопрос задан 8 лет назад

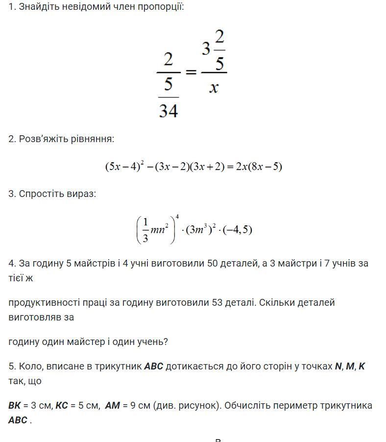
Даю 100 балів. Алгебра і Геометрія 7 клас.

Приложения:

Ответа на этот вопрос пока нет. Попробуйте найти его через форму поиска.

Вас заинтересует