• Предмет: Алгебра
  • Автор: olyuisa
  • Вопрос задан 8 лет назад

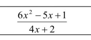
Скоротіть дріб:
Поможіть пжжж, прошу вас.

Приложения:

Ответа на этот вопрос пока нет. Попробуйте найти его через форму поиска.

Вас заинтересует