• Предмет: Алгебра
  • Автор: skipidaruschka
  • Вопрос задан 8 лет назад

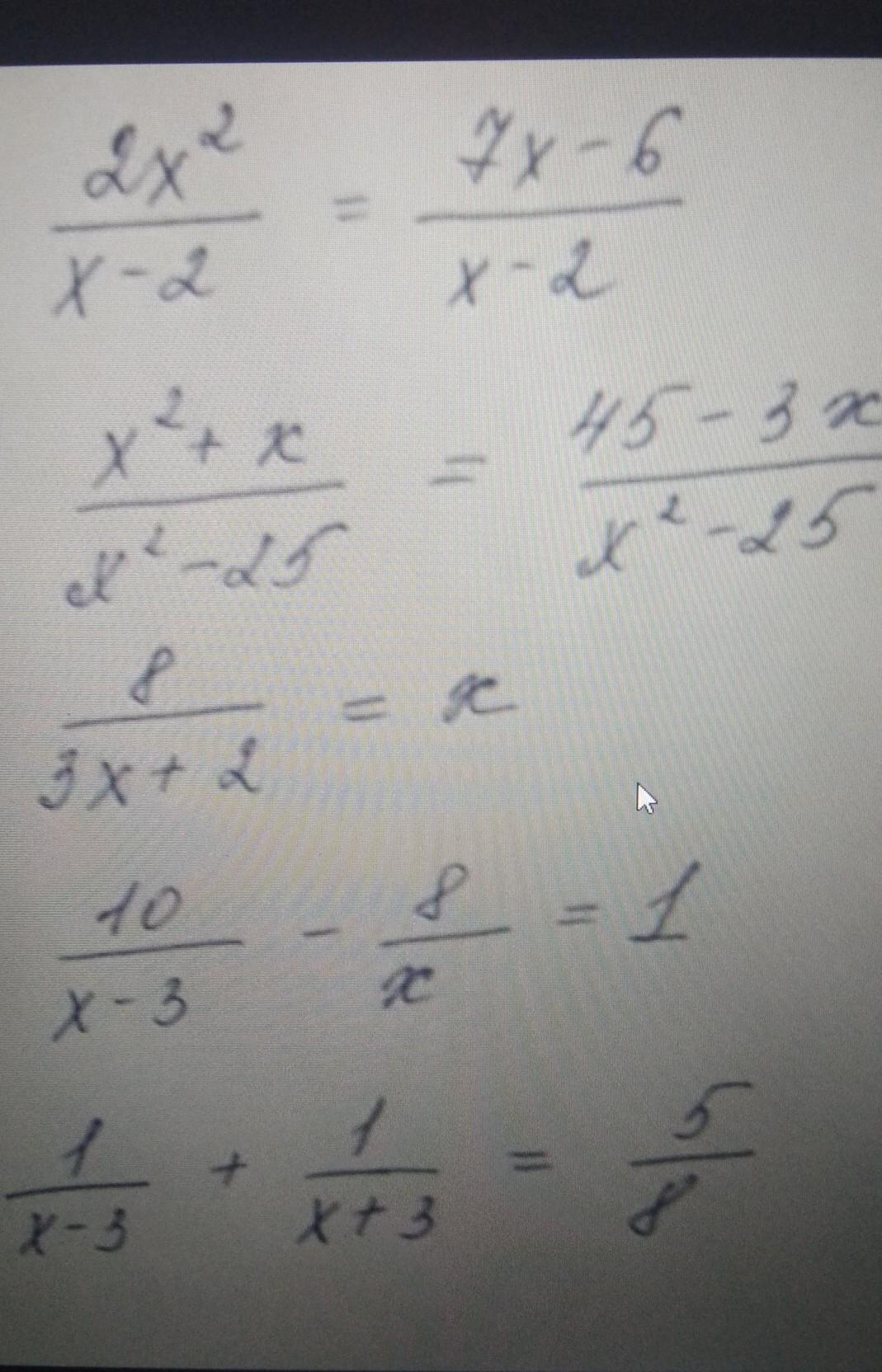
решите уравнение :
8 класс помогите пожалуйста ​

Приложения:

Ответа на этот вопрос пока нет. Попробуйте найти его через форму поиска.

Вас заинтересует