• Предмет: Алгебра
  • Автор: vorozhtsov06
  • Вопрос задан 2 года назад

Представьте многочлен в виде квадрата двучлена
b^2-2a^2b+a^2
^-это степень

Ответы

Ответ дал: astrovskiy98
1

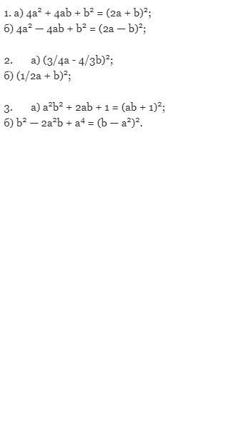
Ниже будет полное решение этой задачи, в виде квадрата двухчлена

Приложения:
Вас заинтересует