• Предмет: Математика
  • Автор: nstastahovskaa
  • Вопрос задан 2 года назад

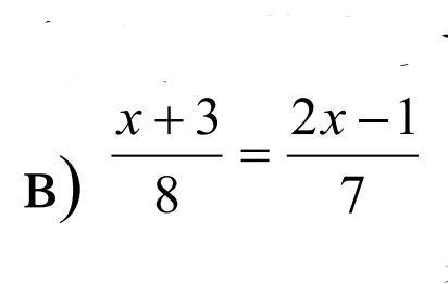
Розв'яжіть рівняння, будь ласка

Приложения:

Ответы

Ответ дал: Bogdana122
0

Ответ:

Пошаговое объяснение:

Будет 3 целих две девятих

Вас заинтересует