• Предмет: Алгебра
  • Автор: shelsi4ek
  • Вопрос задан 8 лет назад

логарифмы, помогите, пожалуйста!! ~​

Приложения:

Ответы

Ответ дал: itachiackerman
0
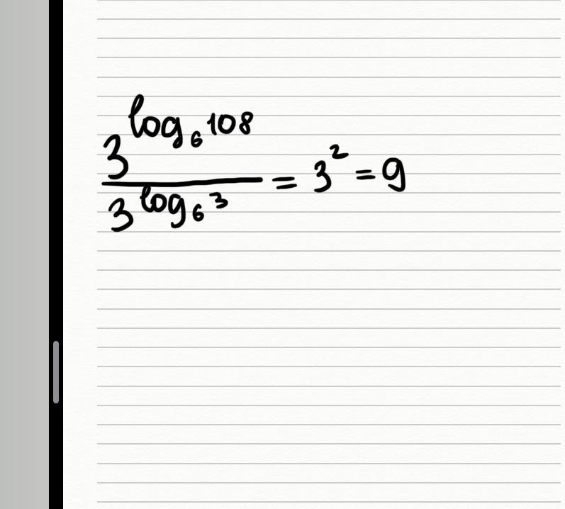
Привет, решение во вложении. Если не сложно - пожалуйста, отметь потом мой ответ как лучший. Буду благодарен :)
Приложения:
Вас заинтересует