• Предмет: Информатика
  • Автор: Anonymous47585
  • Вопрос задан 8 лет назад

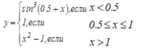
Построить логическую Блок схему по уравнению. Срочно

Приложения:

Ответы

Ответ дал: bajgozinseregej
0

Ответ:

Надеюсь я тебе чем нибудь помог.

Приложения:
Вас заинтересует