• Предмет: Алгебра
  • Автор: debilking
  • Вопрос задан 8 лет назад

Я не понимаю тему, прошу помощи

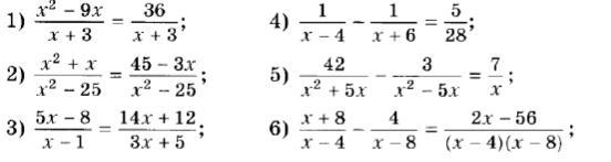
Приложения:

Ответы

Ответ дал: spider1010228
0

Ответ:скачай на телефон приложение photomath и он все решит эти примеры

Объяснение:

Вас заинтересует